记录大质量恒星死亡过程中万亿电子伏伽马射线爆发的全过程
LHAASO在超过250个标准差的显著性水平上检测到GRB 221009A。信用:IHEP
(蜘蛛网eeook.com)据中国科学院(刘佳):2023年6月8日,《科学》杂志在线发表了来自大型高空空气簇射天文台(LHAASO)的名为GRB 221009A的伽马射线爆发(GRB)的新研究结果。这项名为“在极其明亮的GRB 221009A中来自狭窄喷流的万亿电子伏余辉”的研究由LHAASO国际合作完成。
大约20亿年前,一颗比太阳重20多倍的大质量恒星耗尽了其核燃料的聚变能量,瞬间坍缩,引发了大爆炸,从而释放出被称为伽马射线爆发(GRB)的准直宇宙烟火爆发,持续了数百秒。
火球和星际物质碰撞产生的高能伽马射线光子穿过浩瀚的宇宙,直奔地球。2022年10月9日晚,美国东部时间13:20:50,这些光子到达LHAASO的视野,在那里收集了超过60,000个伽马射线光子。经过几个月的分析,科学家们终于揭开了这次爆炸事件的细节。
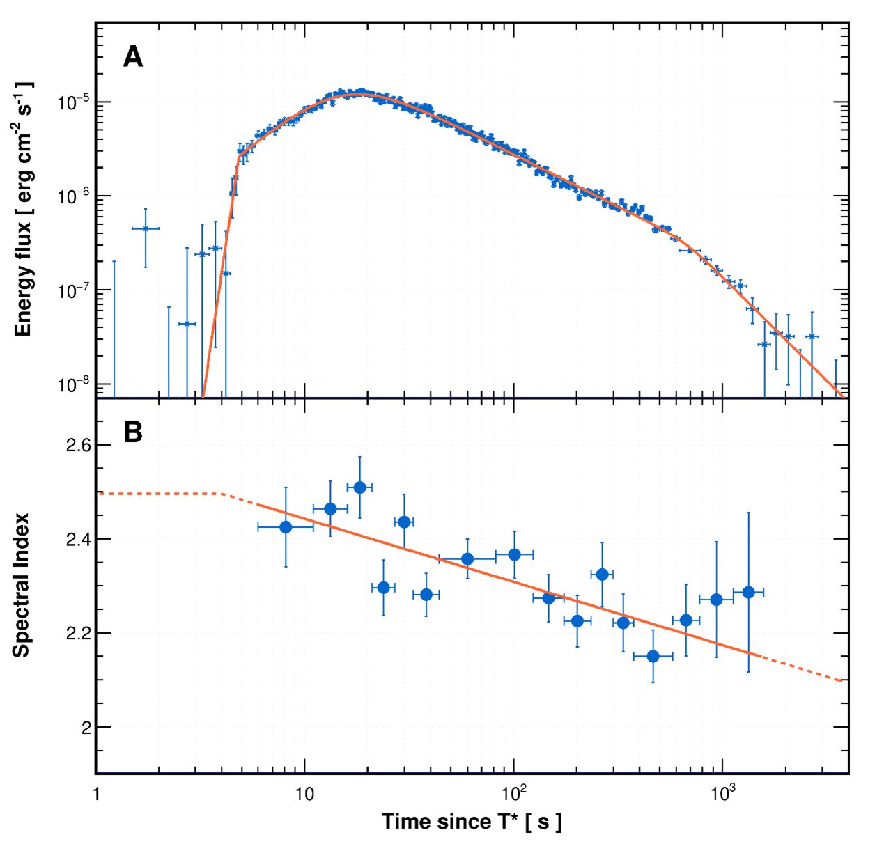
LHAASO首次精确测量了GRB余辉中高能光子的整个光变曲线
LHAASO收集的光子通量表明它们来自主爆发后的辐射。主爆发,即瞬发,是以强烈的低能γ射线辐射为特征的初始大规模爆炸。当喷出的物质以非常接近光速的速度与周围的星际气体碰撞时,就会产生下面的爆发,称为余辉。
“LHAASO首次精确测量了余辉的完整过程,包括万亿电子伏伽马射线通量从上升到衰减的整个阶段,”LHAASO项目首席研究员、LHAASO合作项目发言人、中国科学院高能物理研究所(IHEP)教授曹振说。
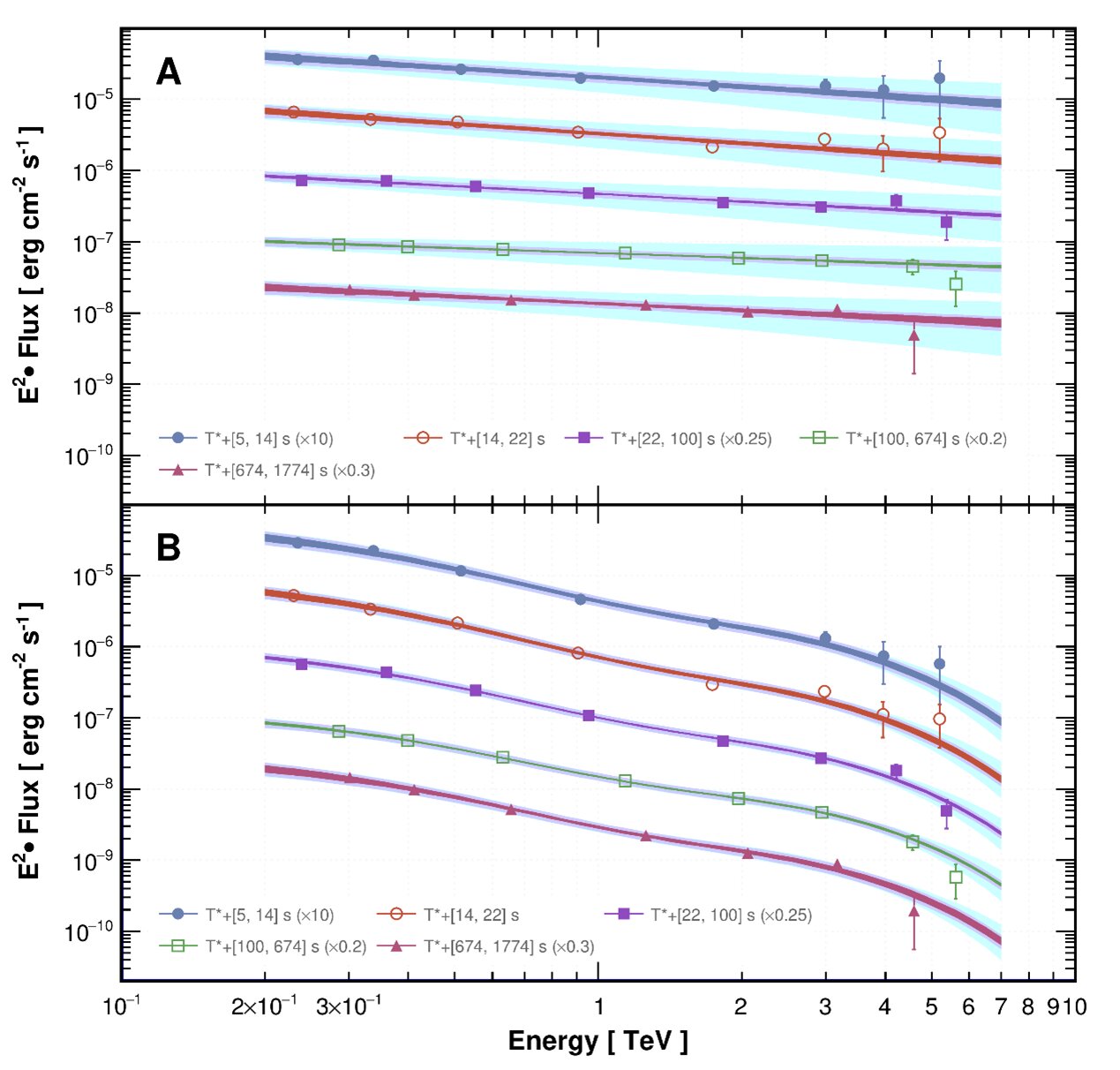
LHAASO在五个时间间隔测量的光子的固有和观测光谱。能量范围在0.2-7 TeV左右。信用:IHEP
基于对数万个伽玛暴的观测,科学家们发展出了看似完美的理论模型,并对其有着强烈的信心。LHAASO观测到了其他实验尚未达到的完整高能光变曲线,为这些理论模型的精确检验提供了完美的数据基础。鉴于这一事件的罕见性,它可能一千年才发生一次,预计这一观测结果将在未来几十年甚至几个世纪内保持最佳之一。
LHAASO首次测量了GRB高能光子通量的快速增强过程
“在余辉开始时,LHAASO首次探测到光子通量的极快增强,”IHEP教授姚治国说,他是该论文的通讯作者之一。在不到两秒钟的时间间隔内,通量增加了一百多倍,随后缓慢上升,这符合余辉的预期特性。早期的快速增强现象超出了之前理论模型的预期。
这就引出了一个问题:到底是什么机制在起作用。发表的结果将在科学界引发关于伽玛暴机制的深入讨论,包括能量注入、光子吸收和粒子加速。
在0.3-5 TeV的能量范围内,来自GRB 221009A的余辉辐射的能通量光曲线和光谱指数演变,以及拟合函数。LHAASO首次实现了100 GeV以上GRB余辉的完整观测,首次揭示了余辉的快速上升现象,发现了GRB221009A余辉中的快速衰变现象。信用:IHEP
拉阿苏揭开了史上最亮的GRB的神秘面纱
LHAASO的观测显示,在余辉开始后的10分钟左右,高能辐射的亮度下降得更快。“这可以解释为爆炸后喷出的物质形成了一个类似射流的结构,当辐射角延伸到射流边缘时,亮度迅速下降,”南京大学教授、论文通讯作者之一王翔宇说。由于这种亮度转变发生得非常早,因此据推断,喷流的测量角度非常小,只有0.8度。
这是迄今为止已知的最小喷流角度,表明所观察到的实际上是典型的内部明亮外部黑暗喷流的最亮核心。“观测者恰好直接面对喷流最亮的核心,这自然解释了为什么这次伽马射线爆发是历史上最亮的,为什么这样的事件如此罕见,”中国科学院科学技术大学教授戴说,他也是该论文的通讯作者之一。
LHAASO的高能数据密集型观测将揭示更多的奥秘
在这一事件的短暂持续时间内,LHAASO记录的光子数量超过了过去几年从“标准蜡烛”蟹状星云观察到的光子累积数量。“如果选择标准稍微放宽,光子数甚至可以达到10万!”这篇论文的通讯作者之一、IHEP的教授查敏说。
相比之下,到目前为止,类似能量带的其他仪器在其他伽玛暴中探测到的光子不到1000个,而且它们只能在爆发后几十秒钟内探测到光子。“截至目前,此次爆发事件仍有许多未知,LHAASO科学家仍在分析数据,以期揭示更多秘密。请继续关注LHAASO的后续分析结果,”曹教授说。















