观测检查来自船帆座X-1吸积X射线脉冲星的X射线辐射
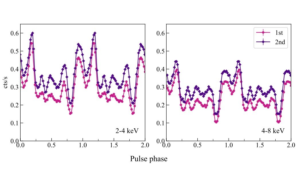
IXPE在第一次和第二次观测中看到的船帆座X-1在两个不同能量带的脉冲轮廓。Credit: Forsblom et al, 2023
(蜘蛛网eeook.com)据美国物理学家组织网(by Tomasz Nowakowski , Phys.org):利用成像X射线偏振探测器(IXPE),一个国际天文学家小组对一颗被称为Vela X-1的吸积X射线脉冲星进行了X射线偏振观测。观测活动的结果于3月3日在arXiv预印本服务器上发布,提供了关于这颗脉冲星的X射线辐射特性的重要见解。
x射线双星由一颗普通恒星或白矮星组成,将质量转移到致密中子星或黑洞上。根据伴星的质量,天文学家将其分为低质量X射线双星(LMXBs)和高质量X射线双星(HMXBs)。
船帆座X-1距离地球约6500光年,是一个失控的大质量X射线双星(HMXB)系统,由吸积中子星和超巨星施主HD 77581组成,在一个紧密的9天轨道上。HD 77581在与星际介质相互作用时发出强烈的恒星风,导致弓形激波。这使得Vela X-1成为已知经历弓形震荡的仅有的两架HMXBs之一。
最近,由芬兰图尔库大学的Sofia Forsblom领导的一组天文学家用IXPE研究了Vela X-1,希望对这颗脉冲星的性质有更多的了解。
“在这篇论文中,我们展示了2022年期间IXPE在两个不同场合对Vela X-1进行的X射线偏振观测的第一批结果,”研究人员写道。
首先,团队使用相位连接技术测量了Vela X-1的自旋周期,结果发现大约为283.4秒。在第一次观察中,2–8 keV能量带中的脉冲部分被确定为53.3%,在第二次观察中被确定为48.1%。
之后,发现在整个IXPE能带(2–8 keV)中,第一次观测的平均偏振度(PD)和偏振角(PA)分别约为3.9%和51.5度。对于第二次观察,测得的平均PD和PA分别为3.7%和48.9度。此外,对Vela X-1相位平均数据的光谱偏振分析发现PD为2.3%,PA为47.3度。
天文学家得出结论,如此低的偏振度与其他已知X射线脉冲星的结果一致。他们推测,所获得的PD值可能是由于中子星大气的逆温度结构。然而,他们补充说,低PD也可能是PD和PA随能量的强烈变化,或PA随脉冲星相位的强烈变化的结果。
该研究的作者指出,为了得出最终结论,需要对Vela X-1进行进一步的研究。
“对Vela X-1偏振特性的复杂能量依赖性的完整和详细分析超出了本文的范围,有待于未来更广泛的工作,”科学家们写道。













