这颗系外行星围绕其恒星的两极运行
天文学家在围绕其恒星的极地轨道上发现了另一颗热木星。这幅图展示了系外行星WASP-79 b沿着其恒星的极地轨道运行。Credit: NASA/GSFC
(蜘蛛网eeook.com)据美国物理学家组织网(by Pensoft Publishers):1992年,人类理解宇宙的努力向前迈出了重要的一步。那时天文学家发现了第一批系外行星。它们被命名为Poltergeist(吵闹鬼)和Phobetor(惊吓鬼),它们围绕一颗大约2300光年远的脉冲星运行。
尽管我们认为在其他恒星周围一定有其他行星,而且整个科幻小说系列都是基于这个想法,但我们并不确定,也不能假设这是真的。快速浏览一下人类历史就会发现我们对自然的假设是多么的错误。
从那以后,很大程度上由于美国宇航局的开普勒和TESS任务,大量的系外行星发现证实了我们关于其他太阳系行星的假设。但是,尽管我们假设其他太阳系将与我们的非常相似——我们没有其他东西可循——但我们已经发现的5000多颗系外行星向我们展示了我们假设的愚蠢。
我们不能因为假设其他太阳系会和我们的相似而受到责备。岩石行星离恒星最近,而气态巨行星和冰质巨行星离恒星较远,这是有道理的。即使是主小行星带提供的漂亮整洁的边界也是有意义的。这也是说得通的,就像我们系统中的行星一样,行星会在黄道上绕着它们的恒星稍作变动。
但是,天文学家发现了大量的气体巨星,包括炽热的木星。事实上,围绕类太阳恒星发现的第一颗系外行星是一颗热木星,它仅用四天时间就绕其恒星运行了一周。这在很大程度上可以归因于凌日方法中的探测偏差,这是大多数行星探测的原因。
热木星HD 189733 b的艺术家插图。Credit: NASA Goddard Space Flight Center.
我们关于有序太阳系与我们相似的假设现在已经成为过去,因为我们已经发现了在非常偏心的轨道上的系外行星,在我们从未预料到的地方的系外行星,比如在白矮星周围的轨道上,以及如此奇怪的行星,以至于熔融铁雨可能会从天空中落下。
但是有一类系外行星引起了系外行星科学家的更多关注。这些行星围绕它们的恒星在极地轨道上运行。一组天文学家发现了另一个黑洞,这一发现需要一个解释。
天文学家利用罗斯特-麦克劳克林效应来确定恒星的旋转方向以及系外行星是否在极地轨道上。它基于红移和蓝移。朝着我们旋转的恒星的一侧正在接近我们,来自太阳那部分的光将转变为蓝色。远离我们的那一面将光线转换成红色。当一颗行星在恒星前面过境时,它会影响这种移动,天文学家可以测量这种影响。
研究人员在《天文学和天体物理学》杂志上发表的一篇新论文中介绍了他们的工作。它的标题是“一颗膨胀的极地行星:低密度的热木星TOI-640 b在极地轨道上。”主要作者是埃米尔·克努特斯楚普,丹麦奥尔胡斯大学物理和天文系的博士生。另一位作者西蒙·阿尔布雷特(Simon Albrecht)以研究极地轨道上的系外行星而闻名,他是该主题其他论文的作者和合著者。
TOI-640是一颗主序F型星。它的质量大约是太阳的1.5倍,半径大约是太阳的两倍。这颗恒星大约有20亿岁,距离我们大约1115光年。TOI-640是一颗双星,它的伴星是一颗红矮星。
来自逆时针旋转的恒星的光在靠近的一侧蓝移,在远离的一侧红移。当行星从恒星前面经过时,它会依次阻挡蓝移和红移的光,导致恒星的表观径向速度发生变化,但事实上并没有发生变化。Credit: Autiwaderivative work: Autiwa (talk) – Rossiter-McLaughlin_effect.png, CC BY 2.5, https://commons.wikimedia.org/w/index.php?curid=9761976
TOI-640 b是一颗炽热膨胀的木星。它的质量约为木星的60%,半径约为木星的1.7倍。但是让这颗行星脱颖而出的是它的恒星倾角。恒星倾角是恒星的自转轴和其行星轨道之间的差异。TOI-640的恒星倾角为184±3°。这意味着行星TOI-640 b位于围绕恒星的极地轨道上。
TOI-640 b不是唯一一个。
像这样的行星太多了,不能把它们当作不规则体而忽略。研究显示,虽然大多数热木星遵循与它们的恒星一致的轨道,但有相当数量的轨道不一致。那些轨道不重合的人倾向于拥有极地轨道。
有趣的是,错位的轨道不会跨越倾角的范围。相反,它们倾向于聚集在极地轨道上,这不可能是侥幸。在2021年题为“垂直行星的优势”的论文中,作者写道,“极地轨道的堆积是关于倾角激发和演化的未知过程的线索。”
论文中的这张图显示了TOI-640 b的TESS转换。蓝色点是30分钟的节奏样本,橙色点是2分钟的节奏样本。方框中带有误差线的点不是数据,而是说明数据的典型误差。Credit: Knudstrup et al. 2023
在同一篇2021年的论文中,研究人员概述了行星在极地轨道上的四种可能原因,以及为什么没有对齐的行星倾向于进入极地轨道。
潮汐消散:天文学家认为TD通常会抑制倾角,但在某些情况下,它会导致倾角徘徊在90度。这种情况发生在阻尼主要由科里奥利力在对流区驱动的惯性波的消散引起的时候。但是一些在极地轨道上有行星的恒星缺乏对流区,而另一些恒星与它们的行星之间的距离如此之大,以至于TD的影响可以忽略不计。
Kozai机制:这是恒星和它的行星以及被称为扰动体的第三个物体之间的相互作用。它可以影响倾角和偏心率,甚至可以将行星翻转到逆行或顺行轨道。TOI-640有一颗红矮星伴星,它可以作为一个干扰物。
长期共振交叉:这发生在太阳系历史的早期,当时圆盘还很突出。凌日行星和外部伴星之间的共振会减少圆盘的质量。它激发了内行星的倾斜度,并将其推至90度。
磁翘曲:这可以使整个原行星盘向垂直方向倾斜。但其他东西可以抵消它,如磁制动和磁盘风。
作者指出,这些机制可以解释他们看到的一些极地轨道,但不是全部。他们写道:“虽然这些机制可能能够解释部分观察到的分布,但它们似乎无法完全再现单独的观察结果。”
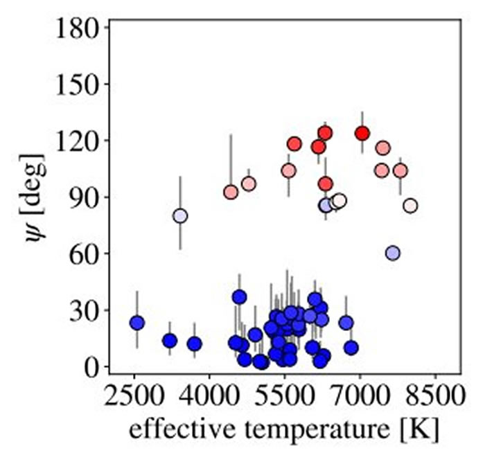
该图显示了x轴上的恒星温度和y轴上的热木星倾角。显示温度是因为较高的温度对应着较快的恒星自转。出于某种原因,样本中的行星要么排列整齐,倾角较小,要么位于极地轨道上。Credit: Albrecht et al. 2021
但是所有这些机制都可以解释极地轨道上的行星。自然不需要只依赖其中一个。他们写道:“增加样本量和扩大参数空间,以试图破译这些机制是否在拥有不同类型行星的不同类型系统中协同工作,这将是有趣的。”
随着天文学家对其他太阳系的了解越来越多,哪些机制在什么时间和什么条件下起主导作用的细节将变得越来越清楚。也许他们的发现会检验我们对其他太阳系的更多假设。

















