大质量双白矮星合并后会发生什么?
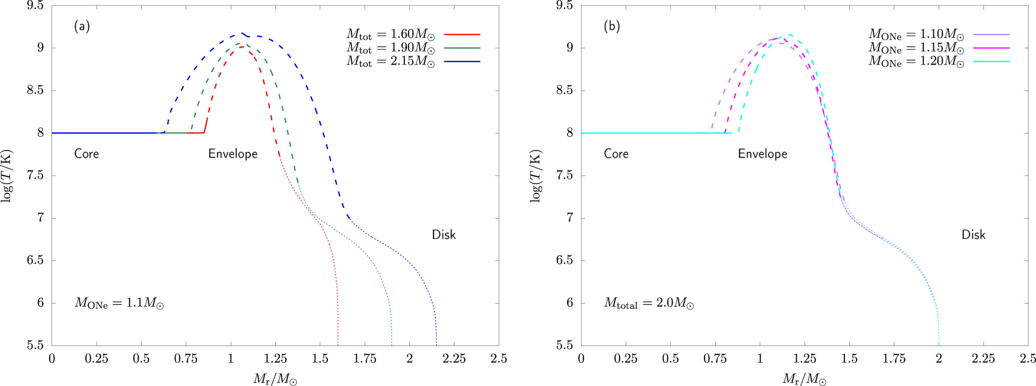
能量注入过程后合并残余物的温度-质量坐标分布。图(a):具有不同总质量和相同ONe WD质量的三个合并残余物的温度分布图。图(a)和(b)中的不同线条表示具有不同质量比的双WD合并的相应结构。资料来源:《天体物理学杂志快报》(2023)。DOI:10.3847/2041-8213/acb6f3
(蜘蛛网eeook.com)据美国物理学家组织网(by Li Yuan, Chinese Academy of Sciences):双白矮星(WD)双星是我们银河系中重要的引力波源,它们的质量与Ia型超新星、电子捕获超新星和毫秒脉冲星有关。
由于引力波辐射,双星系统中的双WDs可以合并在一起。然而,这种合并产生的合并后残余物的演变仍不清楚。
现在,由中国科学院云南天文台助理教授吴成元领导的一个研究小组调查了氧氖WD和碳氧WD合并的进化结果。
这项研究发表在2月22日的《天体物理学杂志快报》上。
研究人员构建了相应的模型来研究合并残余的演变。他们发现,这样的合并残余物可以进化成碳氧巨人,其进化结果与它们的总质量有关。
在固定风质量损失公式下,质量小于1.90M⊙的残余物可以演化为氧氖WDs,而质量大于1.95M⊙残余物可以经历电子捕获超新星爆炸,成为氧氖铁WDs。
“我们的结果表明,超级钱德拉塞卡质量残余源于氧氖WD和碳氧WD的合并,不能形成中子星,这挑战了传统的理解,”吴说。
此外,他们使用相应的模型解释了位于仙后座红外星云的富氧天体IRAS 00500+6713(J005311)。该天体的光谱与富氧的沃尔夫-瑞叶星相似,具有相对较高的风质量损失率和极高的风速。
目前,这个物体的起源仍不清楚。吴用他们的模型解释了该天体的观测特征,并发现该天体起源于1.08M⊙氧氖WD和0.52M⊙碳氧WD的合并。













