下一代引力波探测器可以锁定暗物质
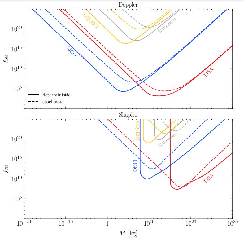
假设T = 1年的观测时间和当地DM密度ρDM = 0.46 GeV/c2/cm3,来自LIGO、LISA、GQuEST和全息仪的随机DM信号的预计90%上限。限值通过设置等式(1)中定义的第10百分位SNR得出。学分:arXiv (2023)。DOI: 10.48550/arxiv
(蜘蛛网eeook.com)据今日宇宙(安迪·托马威克):引力天文学是一个相对较新的学科,它为天文学家打开了许多大门,让他们了解这个巨大而暴力的天平是如何工作的。它已经被用来绘制合并黑洞和宇宙中其他极端事件的地图。现在,来自加州理工学院沃尔特·伯克理论物理研究所的一个团队认为他们对这项新技术有了新的用途——限制暗物质的性质。
正如我们之前多次报道的那样,暗物质是构成宇宙中绝大多数质量的物质,但对于正常的电磁波来说是不可见的,这使得我们几乎不可能以我们通常认为的方式“看到”。然而,这些粒子,如果事实上是这样的话,确实与另一种基本力——重力——相互作用。
这将使它们成为引力波(GW)天文台研究的潜在目标。但是这项工作有几个基本假设。首先,暗物质是一种“宏观”现象——也就是说,它不受量子力学世界的约束。引力波可能只会对作者所谓的超重暗物质起作用,在他们的上下文中,超重暗物质指的是物体本身的质量。
设计用来探测重力方式的干涉仪,可能会接收到受到足够重的粒子影响的信号。特别是,这些粒子会影响引力波的三个不同特征,其中两个是arXiv预印服务器上一篇新文章的作者首次计算的。
第一个是多普勒效应,每个高中物理系的学生都学过,典型的例子是当救护车向你驶来和远离你时,它们的声音是不同的。引力波也发生了同样的现象,因为它们对时空的影响类似地取决于它们的来源相对于GW天文台的移动方式。
为了更细致地观察暗物质可能会影响GWs,作者研究了夏皮罗和爱因斯坦延迟。夏皮罗延迟是信号从干涉仪的一端传到另一端所需时间的变化。这可以根据沿干涉仪臂的某处是否存在时空压缩来改变。另一方面,爱因斯坦延迟是干涉仪用来测量引力波的时钟的实际延迟。然而,在特定的干涉仪配置中,这种效应会相互抵消。
作者从所有这些中得出的结论是,预计将很快上线的现代GW天文台,如加州理工学院时空量子纠缠(GQuEST)实验的重力,应该能够探测到过境的暗物质,如果它足够大,可以被认为是“超重的”。但是这篇论文中还有另一个微妙之处,它耐人寻味,指向了对潜在物理学更深刻的理解,
世界各地的物理学学生学习基本力——重力、电磁力、强核力和弱核力。但是,可能有第五种力量,目前我们还没有发现。这种力被称为汤川相互作用,是理论上的第五种基本力,作用于暗物质和经典物理学学生更熟悉的更传统类型的粒子之间——在理论物理学中,它们被称为重子。到目前为止,还没有任何关于这种力存在的确凿证据,但一些实验已经开始致力于限制它。根据这篇论文,如果它确实存在,这些相同的GW探测器可以在帮助进一步限制它方面发挥作用。
找到一种新的基本力,并解决困扰理论物理几十年的一个谜,对于一门相对较新的科学来说是一个沉重的负担。但这正是科学本身前进的方式——利用新技术进行进一步测量,证明或否定新理论。现在,在很长一段时间之后,是引力天文学大放异彩的时候了。













