银河系考古揭示了我们的邻居仙女座星系的戏剧性历史
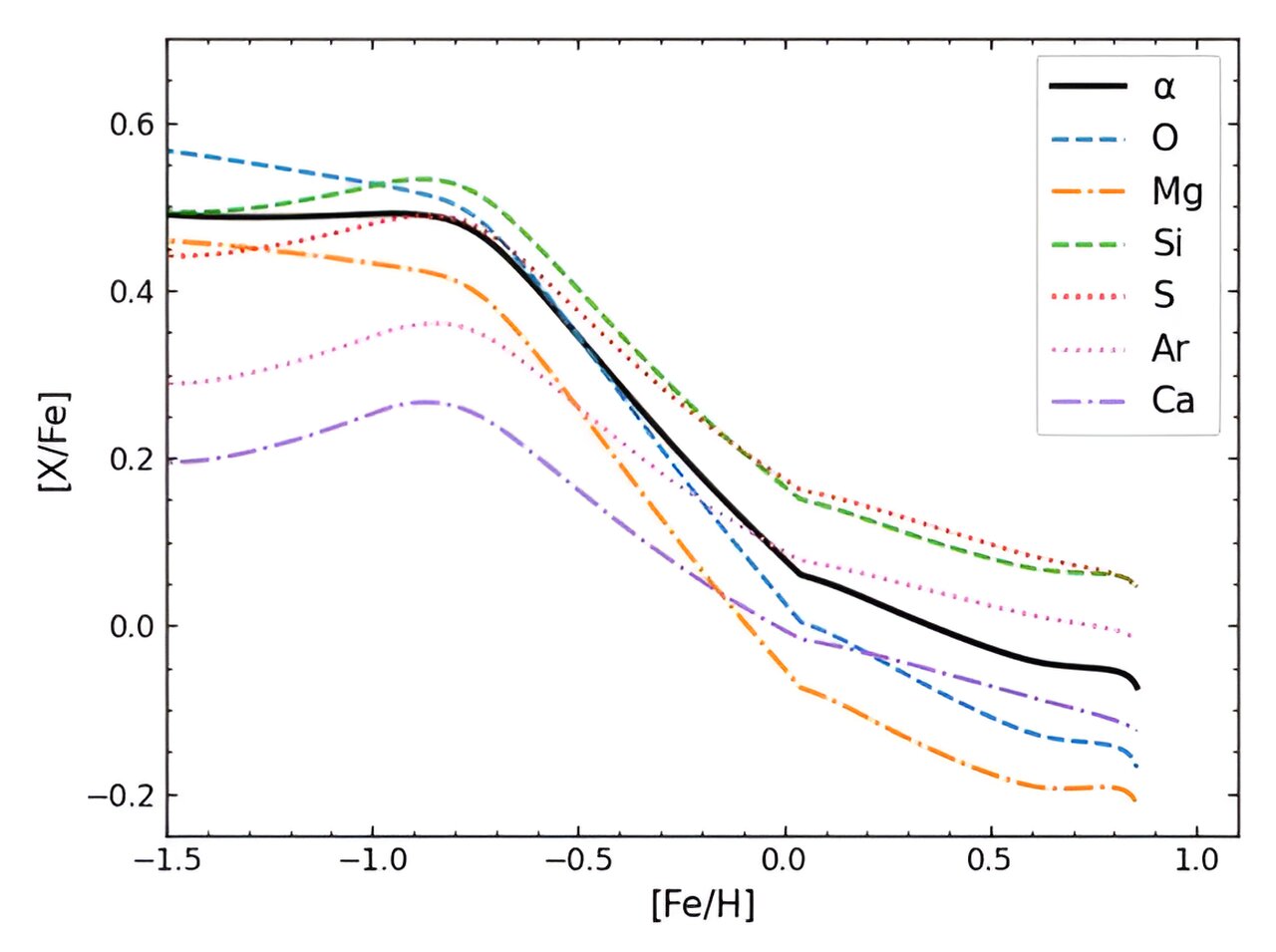
元素丰度[X/Fe]的演变,包括O、Mg、Si、S、Ar和Ca(以及[α/Fe]≦([O/Fe]+[Mg/Fe]+[Si/Fe]+[S/Fe]+[Ca/Fe])/5)与M31的旧厚盘基准模型[Fe/H]的对比(回望时间> 4.5年)。学分:arXiv (2023)。DOI: 10.48550/arxiv
(蜘蛛网eeook.com)据赫特福德郡大学:由赫特福德郡大学领导的研究揭示了离我们最近的星系仙女座的戏剧性历史。使用最先进的建模技术,Chiaki Kobayashi教授和一个国际天体物理学家团队通过星系考古学确定了星系历史的细节,这种方法通过检查恒星的化学成分和宿主星系的发展来重建其过去。
这项研究发表在《天体物理学杂志快报》上,并可在arXiv预印本服务器上获得,研究了仙女座中的元素丰度,特别是行星状星云的存在——由垂死的低质量恒星外层形成的气体和尘埃——以及红巨星分支恒星。
分析显示,仙女座星系的形成比我们银河系的形成更具戏剧性和力度。在最初的恒星形成强烈爆发创造了银河系后,20亿至45亿年前产生了第二层恒星,最有可能是由科学家所谓的“湿合并”触发的——两个富含气体的星系合并,引发了大量的恒星形成。
科学家们长期以来认为,根据星系中单个恒星的位置和运动,仙女座星系可能经历了两个星系的合并。小林教授的研究利用恒星的化学成分揭示了这种合并的性质和影响,并解释了恒星和元素在仙女座星系的历史中是如何形成的。
赫特福德郡大学天体物理学研究中心的天体物理学教授小林教授说:“这是一个极好的例子,说明星系考古学如何为我们的宇宙历史提供新的见解。通过分析仙女座不同年龄恒星的化学丰度,我们可以了解它的历史并更好地理解它的起源。
“虽然仙女座在许多方面与我们的银河系相似——它是一个类似大小的螺旋盘星系——但我们的新研究证实,它的历史要激烈得多,富有戏剧性,爆发了大量的活动,形成了两个不同的恒星形成时代。”
小林教授的理论模型预测了仙女座的两个盘状组件中恒星的两种截然不同的化学成分——一个的氧含量是铁的十倍,而另一个的氧和铁含量相似。这个模型已经被行星状星云的光谱观测所证实,同时也被詹姆斯·韦伯太空望远镜(JWST)对红巨星的观测所证实。
这项新研究延续了小林教授正在进行的关于宇宙元素起源的研究。正如她解释的那样,“氧气是大质量恒星产生的所谓阿尔法元素之一。其他元素是氖、镁、硅、硫、氩和钙。
“已经用行星状星云测量了氧和氩,但是仙女座太远了,JWST需要测量其他元素,包括铁。在未来几年,JWST和地面大型望远镜将继续观察仙女座星系——为新发现提供进一步的证据。”













