附近发现新的迷你海王星系外行星TESS TOI-4438b
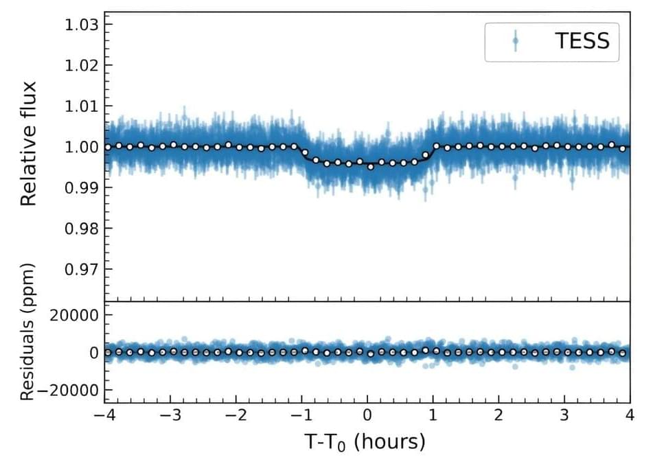
TESS TOI-4438b的相位折叠过境光曲线。来源:Goffo等人,2024年。
(蜘蛛网eeook.com)据美国物理学家组织网(Tomasz Nowakowski):一个国际天文学家团队报告称,发现了一颗围绕附近恒星运行的新的迷你海王星系外行星。新发现的外星世界,命名为TOI-4438b,大约比地球大2.5倍。3月14日发表在预打印服务器arXiv上的一篇论文详细介绍了这一发现。
美国国家航空航天局的凌日系外行星调查卫星(TESS)已经确定了7000多颗候选系外行星(TESS感兴趣天体,简称TOI),其中417颗已被确认。自2018年4月发射以来,该卫星一直在对太阳附近约20万颗最亮的恒星进行调查,目的是寻找凌日系外行星,从小型岩石世界到气态巨星。
所谓的迷你海王星是指半径在1.8到4地球半径之间的系外行星。一般来说,它们在M型矮星周围很常见,并被认为是氢主导的大气层。
现在,由意大利都灵大学的Elisa Goffo领导的一组天文学家探测到了一颗这种类型的新行星。他们报告说,在TOI-4438(或G 182-34)的光曲线中发现了凌日信号,这是一颗光谱类型为M3.5 V的M矮星,位于大约98光年外。后续的光谱和光度观测证实了这一信号的行星性质。
“美国国家航空航天局的TESS太空任务在40、52和53区探测到凌日信号。为了验证TOI-4438b行星并确定系统特性,我们将TESS数据与CARMENES摄谱仪的高精度径向速度测量(历时近一年)和地面凌日光度法相结合,”研究人员写道。
TOI-4438b的半径为2.52地球半径,而其质量约为5.4地球质量,其体积密度为1.85g/cm3。这颗行星每7.44天绕其宿主运行一周,距离宿主约0.05天文单位。TOI-4438b的平衡温度估计为435 K。
根据收集的数据,天文学家得出结论,TOI-4438b是一颗挥发性丰富的迷你海王星,其最小水质量分数相对较高,为46%。他们补充说,这颗行星很可能有氢/氦大气层,其中混合了水、二氧化碳和甲烷等分子。鉴于TOI-4438b具有高透射光谱度量,它是詹姆斯·韦伯太空望远镜(JWST)最适合进行大气表征的目标之一。
当谈到母恒星TOI-4438时,它的大小和质量大约是太阳的三分之一。据估计,这颗恒星的年龄为51亿年,有效温度约为3422 K,金属丰度约为-0.19 dex。













