脉动蛇:在银河系中心发现的第一颗毫秒脉冲星
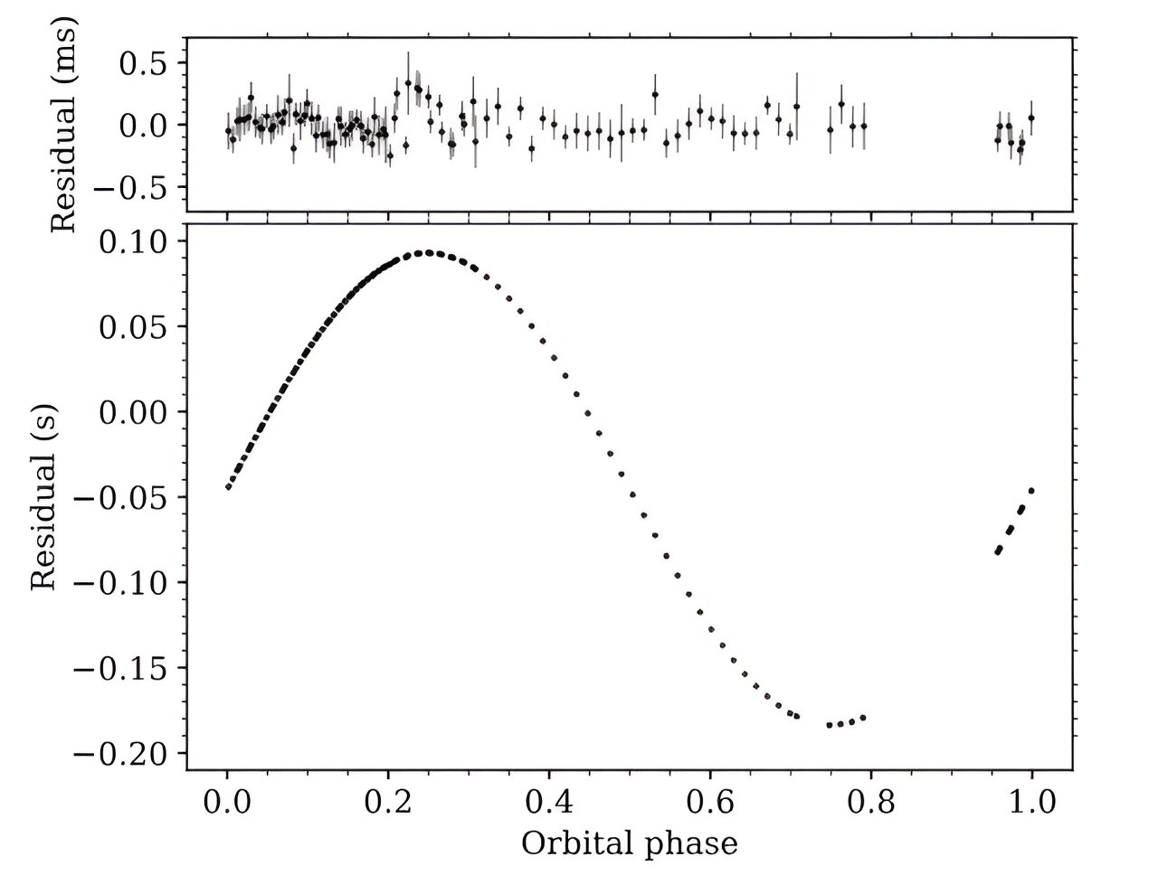
顶部面板显示了PSR J1744−2946的脉冲星定时残差作为轨道相位的函数。底部面板假设二元半长轴为零,以展示伴随物体的影响。来源:Lower等人,2024。
(蜘蛛网eeook.com)据美国物理学家组织网(Tomasz Nowakowski):澳大利亚国家望远镜设施(ATNF)的天文学家报告称,在银河系中心的射电细丝“蛇”中发现了一颗新的毫秒脉冲星。它是在银河系中心探测到的第一颗毫秒脉冲星。4月13日发表在预打印服务器arXiv上的一篇论文详细介绍了这一发现。
脉冲星是高度磁化的、旋转的中子星,发出一束电磁辐射。旋转最快的脉冲星,旋转周期低于30毫秒,被称为毫秒脉冲星(MSPs)。天文学家认为,它们是在双星系统中形成的,当最初质量更大的成分变成中子星,然后由于次级恒星的物质吸积而旋转起来。
现在,由ATNF的Marcus E.Lower领导的天文学家团队在澳大利亚64米帕克斯射电望远镜上使用Murriyang超宽带低(UWL)接收器系统探测到了一个新的MSP。他们调查了最近在G359.1−0.2中发现的一个射电点源(命名为G359.13142−0.2000),该点源被称为蛇——银河系中心最突出的射电细丝之一。
研究人员在论文中写道:“我们于2024年3月25日使用Murriyang超宽带低(UWL)接收器系统对G359.13142−0.2000进行了机会目标观测(项目代码PX130)。”。
结果,研究小组发现了一颗自转周期为8.39毫秒的脉冲星。新发现的MSP的分散度约为673.7 pc/cm3,被命名为PSR J1744−2946。
根据这项研究,PSR J1744−2946位于大约27400光年外,其无线电光度水平为30 mJy kpc2。PSR J1744−2946的通量密度与G359.13142−0.2000在4 GHz时的通量密度相匹配,天文学家认为新发现的脉冲星可能为该源提供动力。
观测发现PSR J1744−2946是一个轨道周期约为4.8小时的双星系统。据估计,伴星的质量至少为0.05太阳质量。
研究人员指出,PSR J1744−2946可能与“蛇”有关。如果得到证实,这将表明脉冲星可能负责照亮银河系中心的射电细丝。
总结这些结果,该论文的作者强调,在距离银河系中心如此之近的地方发现了一颗毫秒脉冲星,这给人们带来了希望,许多MSP尚未在那里被发现。然而,为了证实这一点,需要进行高频调查。
“因此,未来有必要在3 GHz及以上的频率下对整个银河系中心区域进行调查。科学家们总结道:“检测到大量的MSP将支持该区域的费米GeV过剩源于这样一个群体的观点。”。













