一个不寻常的双星系统拥有一颗巨大的快速旋转白矮星
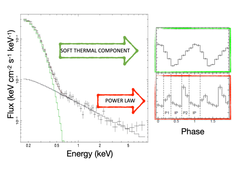
HD 49798/RX J0648.0–4418的X射线光谱(左图)和两个能量范围内的脉冲轮廓(右图)。来源:arXiv(2024)。DOI: 10.48550/arxiv.2412.18546
(蜘蛛网eeook.com)据美国物理学家组织网(Tomasz Nowakowski):在最近的一项研究中,一位意大利天文学家研究了一个名为HD 49798/RX J0648.0-4418的双星系统的性质。12月24日在预印本服务器arXiv上发表的这项新研究的结果为该系统的特性提供了重要的见解,证明它包含一颗巨大而快速旋转的白矮星。
HD 49798是南方天空中的一颗明亮的蓝色恒星,是一颗O光谱型(sdO)的亚矮星,距离地球约1700光年。它是已知最明亮的sdO,绝对星等为-0.24,辐射热光度为4400太阳光度。这颗恒星的有效温度估计为47500 K。
HD 49798已经被观测了几十年,其光谱显示出明显的氦和氮谱线,而这颗恒星也经历了径向速度变化。这些发现表明存在伴星。然而,其性质仍然难以捉摸。
最近的研究检测到来自RX J0648.0–4418的具有高度显著周期性的软X射线发射,其位置与HD 49798重合。这种周期性表明,要么是中子星,要么是白矮星。现在,意大利米兰空间天体物理和宇宙物理研究所的Sandro Mereghiti对现有数据进行的一项新分析提供了支持白矮星情景的进一步证据。
Mereghiti在论文中写道:“现在有几个论点表明,HD 49798的伴星是一颗巨大的白矮星,这对该系统的未来演化具有有趣的意义。”。
研究发现,伴星是一颗白矮星,质量为1.22太阳质量,自转周期约为13.2秒,是白矮星中已知最短的之一。Mereghiti解释说,尽管伴星的质量和自旋周期也与中子星的情况相兼容,但它的X射线光度、自旋周期演变和X射线发射区的大小表明了白矮星的性质。
根据这篇论文,白矮星发射的脉冲X射线具有非常软的光谱,由亚矮星恒星风的吸积提供动力,亚矮星的半径约为1.08太阳半径,质量约为1.41太阳质量。HD 49798/RX J0648.0–4418的轨道周期约为1.55天。
Mereghiti指出,HD 49798/RX J0648.0-4418是唯一已知的吸积驱动的X射线双星,其中质量供体是热亚矮星。此外,白矮星的大质量和高自旋频率,再加上亚矮星的高光度、相对较低的表面重力和特殊的化学丰度,使HD 49798/RXJ0648.0–4418与类似系统相比显得不同寻常。
该论文的作者总结道:“这些特性使HD 49798/RX J0648.0-4418特别有趣,不仅在恒星演化模型的背景下,而且在研究热亚矮星和白矮星方面也是如此。”。













