观测显示,仙女座V717是一种活跃的低质量比接触双星
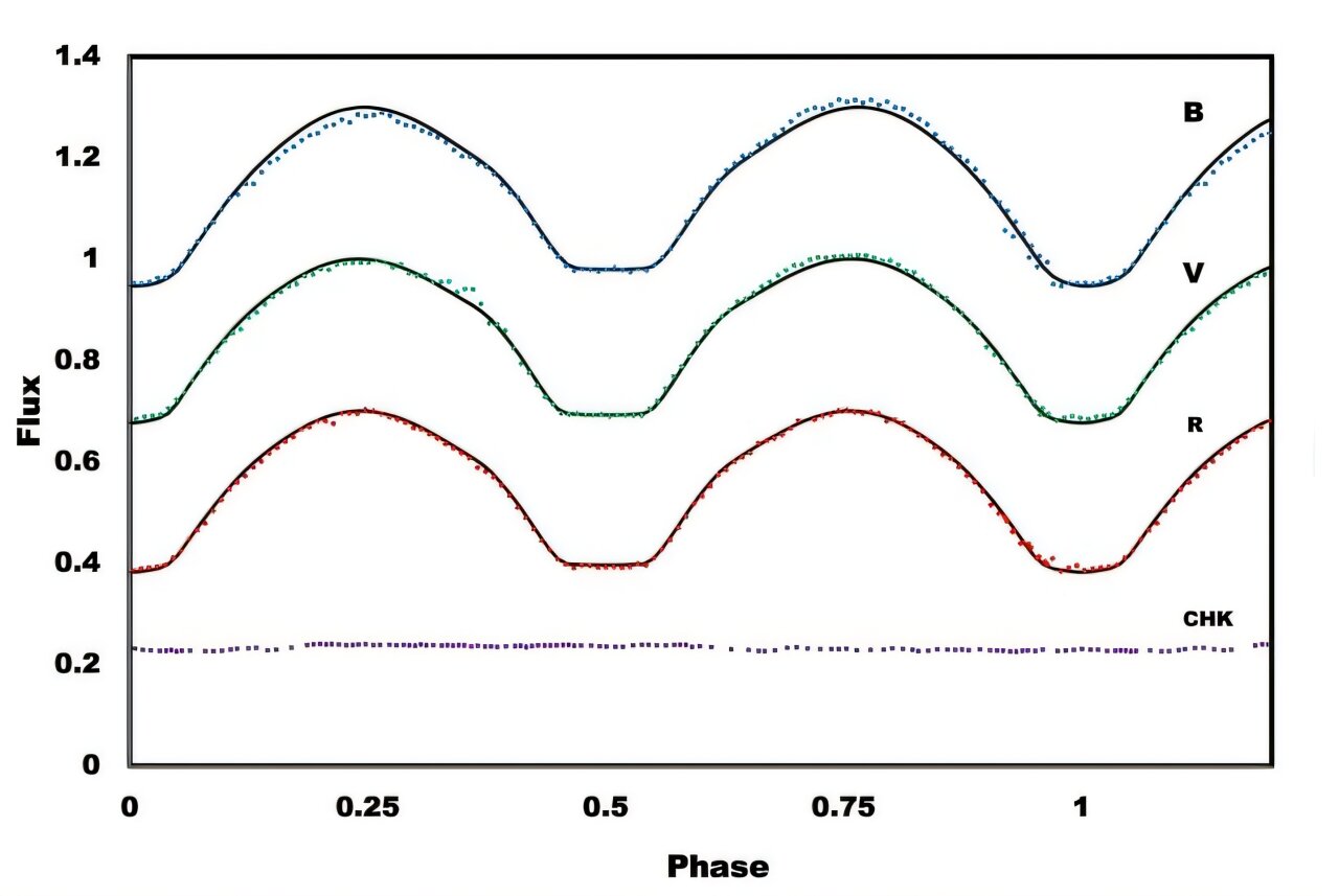
观测和模拟了仙女座 V 717 的光变曲线。蓝色曲线表示 B 波段、绿色、V 波段和红色 R 波段;紫色曲线显示“检查星”。黑线代表每个波段的白矮星建模光曲线。为了清晰起见,曲线已垂直移动。图片来源:arXiv (2025)。DOI:10.48550/arxiv.2509.23278
(蜘蛛网eeook.com)据美国物理学家组织网(Tomasz Nowakowski):来自澳大利亚和塞尔维亚的天文学家对一颗名为仙女座 V717 的双星进行了多波段光度观测。这些观测产生了有关仙女座 V717 性质的关键信息,发现它是一个活跃的低质量比接触双星系统。新发现在 9 月 27 日发表在 arXiv 预印本服务器上的一篇研究论文中进行了详细介绍。
接触双星由两颗恒星组成,它们的轨道非常紧密,以至于它们共享一个共同的气态包层。此类系统的组件通常具有相似的有效温度和光度,无论它们各自的质量如何。
仙女座V717最初于2013年被鉴定为接触双星。该源在V波段达到13.4等,其轨道周期被测得约为0.317天。
然而,鉴于迄今为止尚未对仙女座 V717 进行专门的观察,因此对其性质知之甚少。这就是为什么由澳大利亚西悉尼大学的 Surjit Wadhwa 领导的天文学家团队决定使用塞尔维亚的 1.4 m 米兰科维奇望远镜来研究这个系统。他们的研究得到了来自各种天文调查的档案数据的补充。
Wadhwa 团队进行的观测提供了有关仙女座 V717 中两颗恒星物理特性的重要信息。
“几何光变曲线解决方案与距离和消光估计相结合,用于推导出系统的绝对参数,”研究人员解释道。
原来,系统中的主星半径约为1.14个太阳半径,其质量与太阳相当。次星大约小两倍,质量约为 0.197 个太阳质量。因此,这些发现使仙女座V717成为一个极低的质量比系统。
观测发现,仙女座V717的主星和次星相距约2.13个太阳半径,有效温度分别为5,895和5,813 K。测得到该系统的距离为 2,811 光年。
此外,收集的数据表明,仙女座 V717 没有显示出所谓的奥康奈尔效应的迹象——这是接触双星中色层和日冕活动增强的标志之一。然而,天文学家报告说,还有许多其他标记强烈表明该系统具有色球活性,例如钙 II 红外三联体 (CaII IRT) 线。
研究还发现,仙女座V717的预测不稳定性质量比范围约为0.065-0.060。因此,仙女座V717的质量比为0.197,意味着该系统是稳定的,不是潜在的合并候选者。













