新研究指在末次间冰期中的海洋表面温度与现在的相似
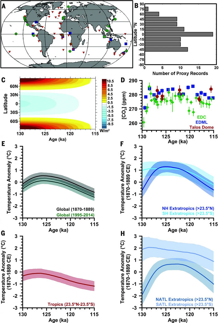
Jeremy Hoffman等人的研究数据所描述的有采样地区、海洋表面温度及二氧化碳浓度演变历史。(J.S. Hoffman et al., Science (2017))
(蜘蛛网eeook.com报道)据EurekAlert!:新的研究报道,在末次间冰期中的海洋表面温度与现在的表面温度相似。现在的这一趋势与当时同样令人担忧,因为在末次间冰期中的海平面比它们现在的高度增加了6-9米。发生在12万9000年至11万6000年前的末次间冰期(LIG)被认为与现在同样温暖或略微更热一些,这令其成为验证全球气候模型及理解海平面对气候暖化做出反应的有用参照。
Jeremy S. Hoffman在此编纂了104个已发病的有关LIG海平面温度(SST)的记录,它们源自83个海洋沉积物钻探处的岩芯。他们将每个钻探处的岩芯与1870-1889年和1995-2014年的数据集进行了比对。数据显示,在LIG于12万9000年前开始的时候,全球海洋SST已经与1870-1889年时的平均SST相似。然而,到12万5000年前,全球SST增加了0.5° ± 0.3°C,它与1995-2014年间的平均值无法区别。这些结果表明,用大多数全球气候模型模拟的LIG全球平均年度SSTs过低。此外,这些数据显示,在LIG开始时的北半球大西洋SST比南半球的低。
总的来说,这些结果可帮助科学家们更好地理解海洋将如何对当今的气候暖化做出反应。













