首页
天文
航天
地球
科技
环保
医学
健康
地理
军事
历史
动物
植物
古生物
恐龙
考古
奥秘
探险
自然
外星人
水怪
野人
灵异
发明
博览
蜘蛛网
天文
地球奇怪的“准月亮Kamo'oalewa是从月球
月球上的佐丹诺·布鲁诺环形山,小行星卡莫奥莱瓦的故乡。(图片来源:Nature Astr...
发现太阳系行星9的新证据
发现太阳系行星9的新证据。来源:arXiv(2024)。DOI:10.44850/arxiv.240411594(蜘...
4月8日日全食期间在太阳附近发现的末日彗
4月8日日全食期间在太阳附近发现的末日彗星SOHO-5008(左下)。图片来源:NASA/SDO...
天体物理学研究促进了对伽马射线暴如何产
艺术家的概念是,在典型的伽马射线暴(GRB)中,当恒星坍塌成黑洞时,一股粒子射流...
新论文认为,寻找致命的金星在宇宙中寻找
这幅石版画以先锋金星、麦哲伦、TRACE和金星快车任务中的金星图像为特色。来源:美...
人工智能和物理学结合揭示了黑洞周围爆发
人工智能和物理学结合揭示了黑洞周围爆发的耀斑的3D结构。来源:CC0公共域(蜘蛛网...
在“完美潮汐风暴”中发现辐射系外行星
艺术家对HD 104067 b的插图,它是HD 104067系统中最外层的系外行星,可能对最内层的...
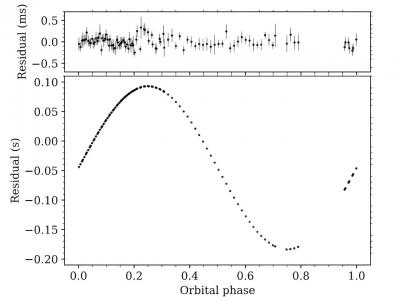
脉动蛇:在银河系中心发现的第一颗毫秒脉
顶部面板显示了PSR J1744−2946的脉冲星定时残差作为轨道相位的函数。底部面板...
中国实验月球卫星拍摄的令人难忘的地球和
2024年4月8日,中国的天都二号实验月球卫星拍摄了这张月球和地球的远红外图像。(图...
宇宙喷泉正在用价值5000万个太阳的物质污
星系NGC 4383是随着气体以惊人的速度从其核心流出而演化的。(图片来源:ESO/A。Wa...
1...
上一页
135
136
137
138
139
140
141
142
143
144
...1738
下一页
最新资讯
首个宇宙碰撞在距离
艺术表现恒星北落师门环绕盘中两个行星相撞的过程。图片来源:托马斯·穆勒(MPIA)...
两颗中子星可能形成
这位艺术家的概念展示了一个假设的事件,称为超千新星。一颗大质量恒星在超新星爆炸...
古代蜜蜂在骨头内产卵
一块哺乳动物头骨化石,牙齿窝里的沉积物,原来是史前蜜蜂筑的巢穴。图片来源:拉萨...
腹泻拖慢了罗马士兵
位于英格兰北部靠近哈德良长城的罗马堡垒温多兰达的三世纪浴场和厕所建筑。图片来源...
星际彗星3I/ATLAS在
星际彗星3I/ATLAS在X射线下发光,它可能隐藏着我们从未见过的气体。图片来源:ESA/...
天文学家在银河系半
半人马座欧米茄球状星团。图片来源:查克·阿尤布(蜘蛛网eeook.com)据今日科学新...
天文学家发现一个行
示例是基于每个伴星的深曝光10′′ K波段图像堆栈的Keck/NIRC2信噪比映射。这些映射...
银河系边缘巨大的新
美国宇航局的詹姆斯·韦伯太空望远镜最近在我们银河系边缘的Sh2-284星团中拍摄到了...
地球的起源故事可能
本研究假设的系统的示意图。图片来源:科学进展(2025年)。DOI: 10.1126/sciadv....
Terra Amata遗址揭
Terra Amata遗址有助于理解欧洲最早人类的技术灵活性。图片来源:西班牙国家人类进...