首页
天文
航天
地球
科技
环保
医学
健康
地理
军事
历史
动物
植物
古生物
恐龙
考古
奥秘
探险
自然
外星人
水怪
野人
灵异
发明
博览
蜘蛛网
天文
詹姆斯·韦伯太空望远镜图像的真实颜色是
美国国家航空航天局的詹姆斯·韦伯太空望远镜在高分辨率近红外光中捕捉到了一对紧密...
哈勃望远镜在一场令人惊叹的宇宙灯光秀中
FS Tau系统的哈勃图像,其中心有一个明亮的四角光,代表婴儿恒星FS Tau B(图片来源...
极端的“蓝超巨星”是如何诞生的?天文学
一颗红巨星和一颗更小、更年轻的伴星相互靠近,这是碰撞的前奏,碰撞将产生一颗蓝超...
2024年4月8日的日全食会持续多久?
四月日全食的持续时间将取决于你所处的位置。(图片来源:Daisy Dobrijevic/Canva)...
物理学家制造破纪录的“量子漩涡”来研究
一幅漩涡的艺术家插图。(图片来源:Saibarakova Ilona via Shutterstock)(蜘蛛网...
科学家发现,230万年前一个巨大物体在火
由美国国家航空航天局火星勘测轨道飞行器拍摄的火星年轻的科林托陨石坑被数百个在同...
如果有史以来最大的太阳风暴卡灵顿事件发
日冕物质抛射从太阳向地球喷出的插图(图片来源:盖蒂图片社)(蜘蛛网eeook.com)...
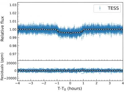
附近发现新的迷你海王星系外行星TESS TO
TESS TOI-4438b的相位折叠过境光曲线。来源:Goffo等人,2024年。(蜘蛛网eeook.co...
天文学家在三小时内发现49个新星系
附近的四个星系是MeerKAT发现的49个星系中的一部分,如白色轮廓所示。其中三个星系...
美国国家航空航天局的IXPE(成像X射线偏
IXPE在空间中的艺术家渲染(蜘蛛网eeook.com)据美国宇航局(贝丝·里奇韦):3月2...
1...
上一页
151
152
153
154
155
156
157
158
159
160
...1738
下一页
最新资讯
首个宇宙碰撞在距离
艺术表现恒星北落师门环绕盘中两个行星相撞的过程。图片来源:托马斯·穆勒(MPIA)...
两颗中子星可能形成
这位艺术家的概念展示了一个假设的事件,称为超千新星。一颗大质量恒星在超新星爆炸...
古代蜜蜂在骨头内产卵
一块哺乳动物头骨化石,牙齿窝里的沉积物,原来是史前蜜蜂筑的巢穴。图片来源:拉萨...
腹泻拖慢了罗马士兵
位于英格兰北部靠近哈德良长城的罗马堡垒温多兰达的三世纪浴场和厕所建筑。图片来源...
星际彗星3I/ATLAS在
星际彗星3I/ATLAS在X射线下发光,它可能隐藏着我们从未见过的气体。图片来源:ESA/...
天文学家在银河系半
半人马座欧米茄球状星团。图片来源:查克·阿尤布(蜘蛛网eeook.com)据今日科学新...
天文学家发现一个行
示例是基于每个伴星的深曝光10′′ K波段图像堆栈的Keck/NIRC2信噪比映射。这些映射...
银河系边缘巨大的新
美国宇航局的詹姆斯·韦伯太空望远镜最近在我们银河系边缘的Sh2-284星团中拍摄到了...
地球的起源故事可能
本研究假设的系统的示意图。图片来源:科学进展(2025年)。DOI: 10.1126/sciadv....
Terra Amata遗址揭
Terra Amata遗址有助于理解欧洲最早人类的技术灵活性。图片来源:西班牙国家人类进...