首页
天文
航天
地球
科技
环保
医学
健康
地理
军事
历史
动物
植物
古生物
恐龙
考古
奥秘
探险
自然
外星人
水怪
野人
灵异
发明
博览
蜘蛛网
天文
2024年美国国家航空航天局总部照片最佳:
2024年美国国家航空航天局总部照片最佳:印第安纳波利斯4月8日日全食。图片来源:美...
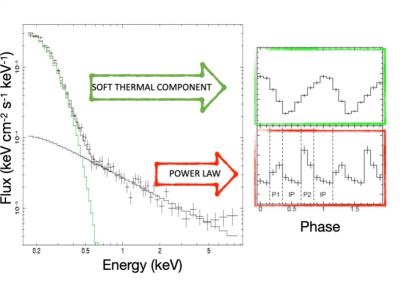
一个不寻常的双星系统拥有一颗巨大的快速
HD 49798/RX J0648.0–4418的X射线光谱(左图)和两个能量范围内的脉冲轮廓(右图)...
这是你2025年的夜空指南和其他令人惊叹的
2024年11月15日,星期五,从新泽西州霍博肯市看到,一个超级月亮在纽约市的观景台后...
如何捕捉2025年的第一场流星雨Quadrantids
美国国会图书馆提供的这幅1825年的蚀刻图显示了一张天文图,描绘了犁头靴拿着长矛、...
德国天文学家发现三颗新的缺氢前白矮星
光谱能量分布适用于前白矮星。黑点对应于观测到的光度,红线是校正星际变红的最佳模...
美国国家航空航天局2025年1月的观星提示
(蜘蛛网eeook.com)据美国国家航空航天局(普雷斯顿·戴奇斯):这个月的每个晚上...
研究表明Rujm el-Hiri的古代天文台角色不
(a)地理位置(北纬32°54′30.87〃,东经35°48′3.89〃);(b) 鸟瞰图,改编自...
国际天文学家团队使用甚大阵列VLA观测到
国际天文学家团队使用甚大阵列VLA观测到附近一个星系合并CIZA J0107.7+5408。来源:...
天文学家发现了一个超大质量、宏伟设计的
天文学家发现了一个超大质量、宏伟设计的螺旋星系。来源:arXiv(蜘蛛网eeook.com)...
太阳系中的两组暗彗星可以告诉研究人员地
暗彗星在太空中飞行,但与彗星不同,它们没有尘埃尾巴。图片来源:Adina Feinstein...
1...
上一页
49
50
51
52
53
54
55
56
57
58
...1737
下一页
最新资讯
沧龙可能同时威胁到
沧龙大多活动在海洋栖息地,但现在有证据表明它们有时会迁徙到其他地方。图片来源:...
海洋爬行动物的牙齿
地狱溪沧龙的重建。图片来源:克里斯托弗·迪皮亚扎(蜘蛛网eeook.com)据乌普萨拉...
研究显示,北极熊可
研究显示,北极熊可能正在适应更温暖的气候环境。图片:爱丽丝·戈登和本杰明·里克...
天文学家研究邻近星
梅西耶74,来自裁剪后的MUSE中央弧极数据立方体,将MUSE波长全域的光线结合起来。图...
研究表明,耳洞标志
戴着耳环的站着的玛雅战士的形象。公元650-800年,晚期经典。来源:The Art Instit...
地幔如何封锁了早期
(蜘蛛网eeook.com)据中国科学院:大约46亿年前,地球与我们今天所知的温柔蓝色星...
尼安德特人比之前认
燧石和黄铁矿火花的艺术家想象。图片来源:克雷格·威廉姆斯,大英博物馆托管人(蜘...
是谁建造了斯堪的纳
目前陈列于丹麦国家博物馆的Hjortspring船。 照片由Boel Bengtsson/Fauvelle等人拍...
NASA宇航员绕地球3
三名国际空间站宇航员于12月8日乘坐联盟号飞船返回哈萨克斯坦。图片来源:NASA / 比...
天王星和海王星可能
根据这项新研究,天王星可能是冰巨星(左)或岩石巨星(右),具体取决于模型假设。...