观测探索Ic型超新星SN 2022jli的性质
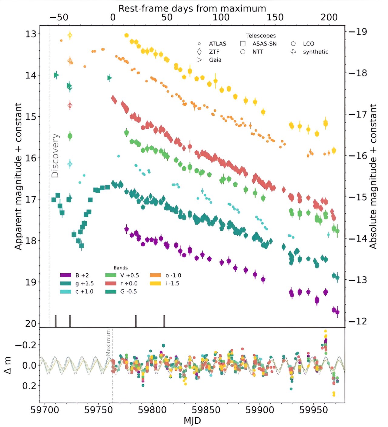
SN 2022jli多色消光校正光曲线,包括光度误差。学分:arXiv (2023)。DOI: 10.48550/arxiv.2309.12750
(蜘蛛网eeook.com)据美国物理学家组织网(托马斯·诺瓦克斯基):一个国际天文学家小组对最近发现的ic型超新星SN 2022jli进行了多波长光度和光谱观测。9月22日发表在预印服务器arXiv上的观测活动结果表明,这颗超新星具有不同寻常的特性。
一般来说,超新星(SNe)是强大而明亮的恒星爆炸。它们提供了恒星和星系演化的重要线索,天文学家根据它们的原子光谱将它们分为两类:I型和II型。I型SNe的光谱中缺少氢,而II型SNe显示氢的谱线。
Ic型超新星(SNe Ic)是核心坍缩SNe的一个子类,在其光谱中不显示氦或氢线。它们代表了最剥离的大质量恒星的爆炸,但它们的前身和爆炸机制仍不清楚。
SN 2022jli于2022年5月由Kleinkaroo天文台首次发现,是NGC 157星系中的一个瞬变。对这一瞬间的进一步观察发现,它是一个SN Ic,距离大约7500万光年。
由英国贝尔法斯特女王大学的托马斯·摩尔领导的一组天文学家利用各种地面望远镜和空间天文台对SN 2022jli进行了广泛的跟踪观测。观测涵盖了超新星最大光之前大约50天到之后200天的时间。
“我们已经对前所未有的Ic SN 2022jli型进行了详细的、多波长、高频率的观察,”研究人员写道。
观测发现,SN 2022jli展示了异常长的寿命,发光的早期过剩,随后是长的上升时间,以及缓慢的光谱演变。初始过量的持续时间(至少25天)对于Ic型SN来说是前所未有的,其辐射热光曲线在爆炸后至少59天达到峰值。
天文学家强调,SN 2022jli上升时间长可能是由于大量的喷出物。他们估计这颗超新星的喷出物质量约为12个太阳质量,并补充说,进一步的星云相位光谱可能会提供对其核心质量的独立估计。
研究人员还在SN 2022jli的光学光变曲线中检测到了一种周期性行为。他们测量了大约12.5天的周期和超新星最大光的大约1%的振幅,在至少200天的时间窗口内重复。
“这是第一次在超新星光变曲线中检测到多次重复的周期性振荡,”这位科学家指出。
根据论文作者的说法,这种周期性可以归因于与一种结构化的星周介质相互作用产生的冲击加热的离散事件,这种介质是通过双星系统中前身恒星的调制质量损失产生的。团队考虑的另一个场景是同伴-紧凑对象交互。需要对SN 2022jli进行进一步的多波长监测,以确定这些假设中哪一个是正确的。













