天文学家可能已经发现了大爆炸后形成的第一批恒星
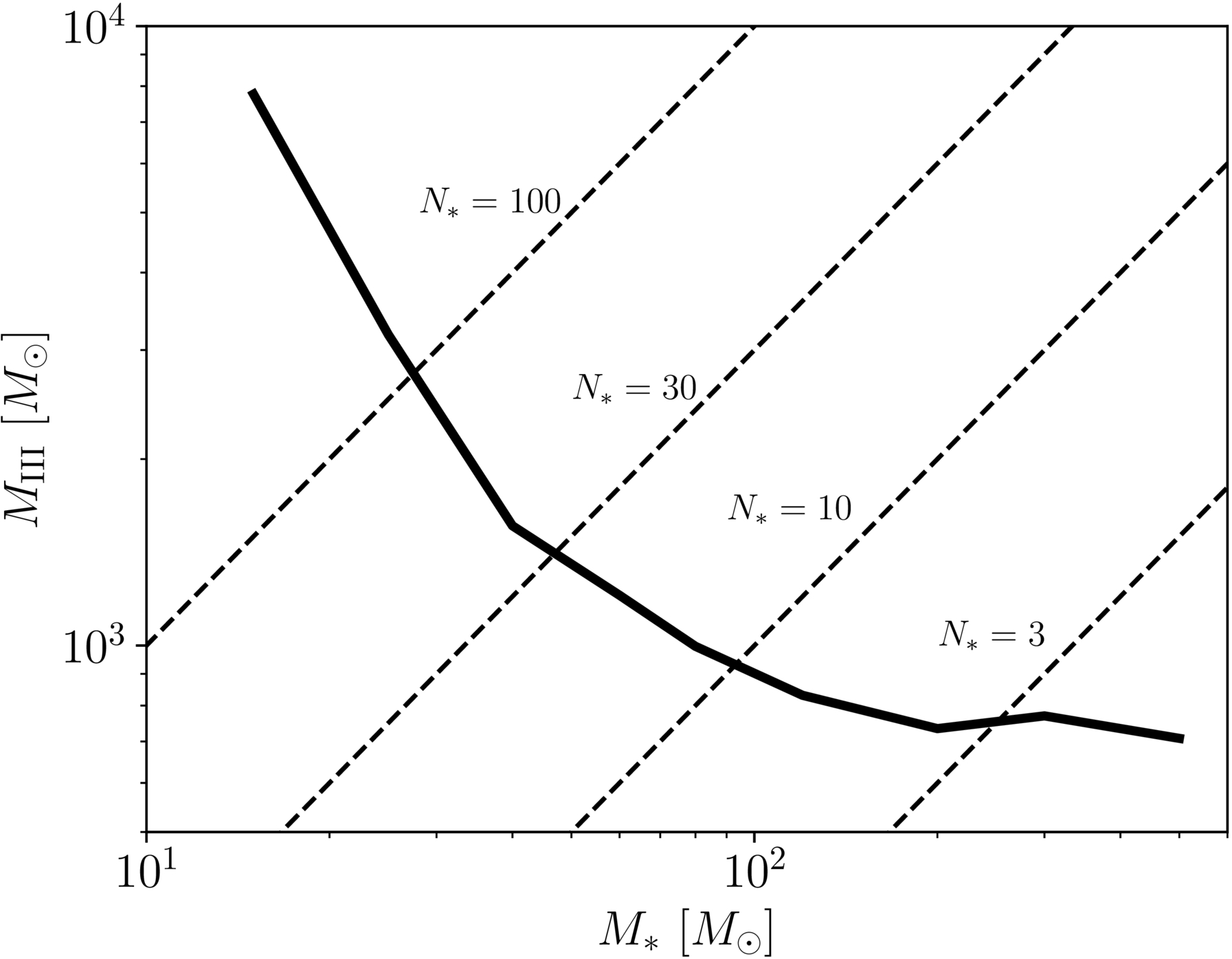
产生 LAP1-B 中观测到的 Hα发射所需的 Pop III 恒星的总恒星质量与每颗恒星的质量的函数(假设所有恒星具有相同的质量,根据公式 (1) 计算)。该值是假设允许恒星的分数数计算的,这是非物理的,但表明电离效率在恒星质量约为 200 M 时饱和⊙.对角虚线表示恒定数量的恒星。来源:天体物理学杂志快报
(蜘蛛网eeook.com)据美国物理学家组织网(保罗·阿诺德):多年来,天文学家一直在寻找第一代恒星,这是早期宇宙的原始遗迹。现在他们可能刚刚找到了它们。俄亥俄州托莱多大学的 Ari Visbal 及其同事认为,在详细分析了詹姆斯·韦伯太空望远镜 (JWST) 之前对名为 LAP1-B 的遥远星系的观测结果后,他们已经瞥见了所谓的 Population III (Pop III) 恒星。
流行 III 明星被认为完全由氦气和氢气以及微量锂组成,锂是大爆炸后留下的成分。它们形成得很早,大约在宇宙开始后 2 亿年。这些恒星极为罕见,因为它们很久以前就消失了,尽管科学家们希望这些遥远的古老物体发出的微弱光线能够被探测到。
以前的种群 III 候选者已被排除在外,因为它们没有达到关于其形成和特性的三个主要预测。也就是说,它们形成于小的暗物质团块(称为晕),体积极大,并且形成小簇。
与预测完美匹配?
在发表在《天体物理学杂志快报》上的论文中,该团队认为他们的发现满足了所有三个要求。首先,Pop III 恒星系统形成于科学家预测的确切环境中,即大约是太阳质量 5000 万倍的暗物质团块。
另一个原因是恒星质量很大,质量是太阳质量的 10 到 1,000 倍。这些巨大的恒星聚集在一起,但只是以总质量为几千个太阳质量的小群,证实了第三个预测。
“LAP1-B 是第一个同意经典 Pop III 来源的三个关键理论预测的 Pop III 候选者,”研究人员写道。
进一步的证据来自LAP1-B周围的气体,它显示出明显的光谱特征,并且仅含有微量的金属。这与系统如此年轻的情况一致,以至于一些第一批大质量恒星最近已经消亡,以超新星的形式爆炸并用这些早期元素污染了气体。
后续步骤
虽然这项研究无疑令人兴奋,但尚未完全证实流行 III 明星的发现。仍然存在一些不确定性,例如第一颗超新星到底喷射了多少物质,以及当前的计算机模型是否捕捉到了早期宇宙的物理特性。
但在我们等待确认的同时,这项新研究可以为寻找其他遥远物体提供路线图,例如将 JWST 的力量与引力透镜等技术相结合。这种方法能够检测 LAP1-B,这意味着这一发现可能只是一个开始。
该团队补充说:“LAP1-B 可能只是研究星系团引力透镜的 Pop III 恒星的冰山一角。
更多信息:Eli Visbal 等人,LAP1-B 是第一个与 III 群恒星理论预测一致的观测系统,天体物理学杂志快报(2025 年)。DOI:10.3847/2041-8213/ae122f













