研究表明,早期宇宙中充满了令人惊讶的螺旋星系
蓝白色螺旋星系NGC 1376微妙地悬挂在寒冷的太空真空中。鸣谢:美国国家航空航天局、欧空局和哈勃遗产小组(STScI/AURA)
(蜘蛛网eeook.com)据《今日宇宙》(布莱恩·科柏林):如果我们能远行到银河系之外,回头看银河系,那将是一幅壮丽的景象。发光的螺旋从中央核心延伸出来,沿着螺旋边缘散布着尘埃和星云。当你想到一个星系时,你可能会想象一个像银河系一样的螺旋星系,但螺旋仅占我们看到的星系的60%。这是因为螺旋星系只有在较小的星系随着时间的推移发生碰撞和合并时才会形成。或者我们是这样认为的,但arXiv预印本服务器上发布的一项新研究表明,事实并非如此。
星系的标准模型是它们随着时间演化。星系是由原始氢和氦的巨大云团形成的,因此一开始可能具有相当无定形的结构。鉴于早期宇宙的密度,星系碰撞和合并是常见的,这使得星系旋转,并导致它们形成圆盘和螺旋。所有这些都需要时间,所以我们预计螺旋星系在本地宇宙中相当常见,但在早期宇宙中很少见。
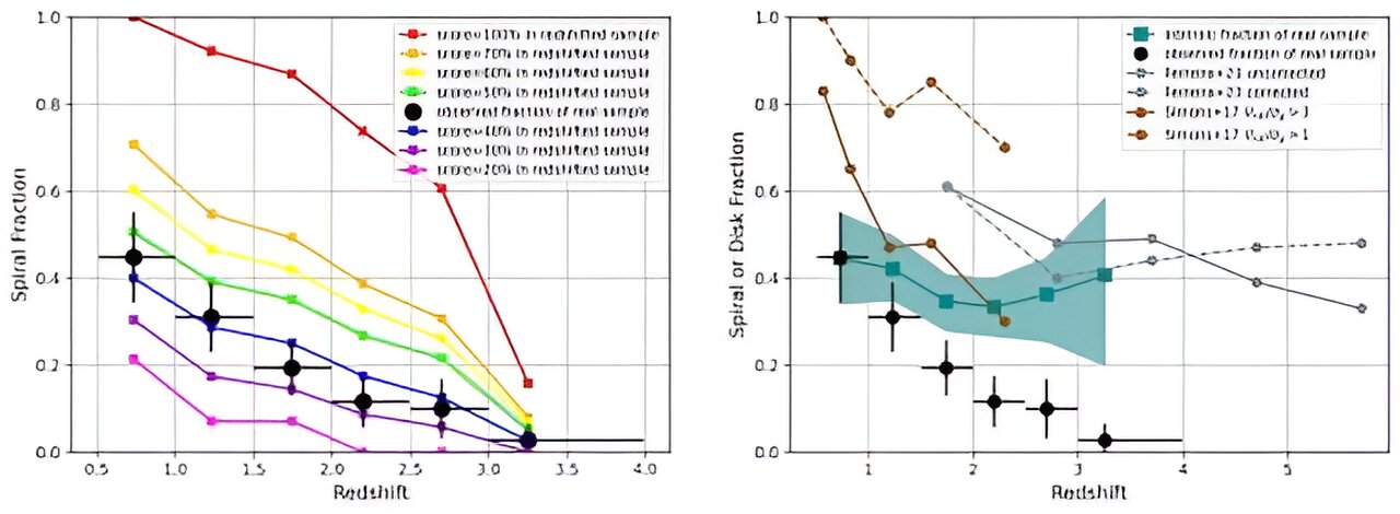
这项新工作使用了来自宇宙进化早期发布科学调查(CEERS)的数据,这些数据是由詹姆斯·韦伯太空望远镜收集的。该团队确定了873个大于100亿太阳质量的星系,红移在z = 0.5到z = 4之间。处于这种红移的星系年龄在50亿到120亿年之间,因此它们跨越了早期星系到现代星系的范围。
螺旋星系的比例是红移的函数。鸣谢:库恩等人
在这些星系中,有216个被归类为旋涡星系。作者小心翼翼地指出,一些可能正在合并被错误分类的星系,但即使如此,108个星系仍被评估者一致归类为螺旋星系。当研究小组按照红移对它们进行排列时,他们发现,虽然随着你越往过去,螺旋的比例越来越低,但红移超过z = 3的螺旋比例比预期的要高得多。当该团队校准观测结果时,他们发现z = 3的星系中约有五分之一是螺旋星系。这些非常早期的星系在大爆炸后不到20亿年就必须成为螺旋星系,这意味着几乎没有时间进行合并和碰撞。
换句话说,许多星系在宇宙中很早就进化成了盘状螺旋。因此,虽然碰撞和合并确实在螺旋星系的形成中发挥了作用,但很可能还有其他因素在起作用。目前尚不清楚这些因素是什么。利用来自JWST的未来数据,研究小组希望确定这些早期星系是如何演化的,以及为什么螺旋星系存在了这么久。














