天文学家检查X射线脉冲星Swift J0243.6+6124的行为
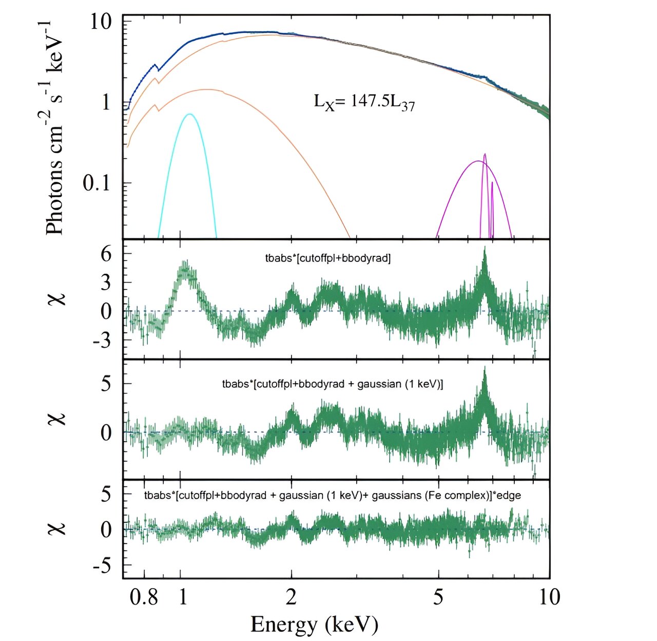
在X射线爆发峰值附近对MJD 58065(ID 1050390115)进行的NICER观测获得的Swift J0243.6+6124的0.7-10千电子伏能谱。从上往下数的第二、第三和第四幅图分别显示了拟合连续体以及随后添加1 keV、6–7 keV Fe线复合波和边缘特征后残差的演变。致谢:Chhotaray等人,2024年。
(蜘蛛网eeook.com)据美国物理学家组织网(托马斯·诺瓦克斯基):通过分析中子星内部成分探测器(NICER)的数据,来自印度艾哈迈达巴德物理研究实验室(PRL)和其他地方的天文学家对一颗名为Swift J0243.6+6124的超明亮X射线脉冲星进行了详细的X射线计时和光谱研究。这项研究的结果于1月26日在预打印服务器arXiv上发布,为这颗脉冲星的行为提供了重要的见解。
超发光X射线源(ULXs)是天空中的点源,在X射线中非常明亮,每个X射线源发出的辐射超过100万个太阳在所有波长下发出的辐射。尽管它们不如活跃的星系核明亮,但它们比任何已知的恒星过程都更持续发光。
天文学家普遍认为,由于它们的亮度,大多数ULXs都是黑洞。然而,最近的观察发现,一些ULXs显示出相干脉动。这些光源被称为超发光X射线脉冲星(ULXPs),是通常比黑洞质量小的中子星。已知ulp的列表仍然相对较短;因此,研究这类物体对于研究人员用X射线探索宇宙至关重要。
雨燕J0243.6+6124是由美国国家航空航天局的雨燕飞船在2017-2018年强大的X射线爆发期间发现的。它被认为是第一个银河ULX,因为它强烈的X射线光度高达12亿亿亿尔格/秒
对Swift J0243.6+6124的先前研究发现,它拥有一颗脉动周期为9.8秒的中子星和一颗光谱类型为O9.5Ve的伴星(施主星)。该系统的轨道周期相对较短,约为28天。
由PRL的Birenda Chhotaray领导的一个天文学家小组对Swift J0243.6+6124进行了长期研究,主要关注其在2017年至2023年之间的爆发活动。他们的计时和光谱分析使他们能够更好地了解这种ULXP在不同光度阶段的行为。
NICER观测揭示了Swift J0243.6+6124的功率密度谱中与光度有关的突变,这表明吸积动力学随质量吸积率而变化。此外,数据表明准周期振荡(QPOs)在特定的光度范围内。
2023年6月至9月期间,Swift J0243.6+6124进入爆发阶段,在此期间,中子星呈现出自旋状态及其脉冲轮廓的变化。光谱分析在连续统参数中检测到亮度约为75和210十一亿尔格/秒的两个亮度相关跃迁。这些结果指出了2017–2018年巨大爆发期间的三种不同的吸积模式。
研究人员还在Swift J0243.6+6124的光谱中检测到一个温度为0.08-0.7 keV的软黑体成分。随着源从亚爱丁顿态演化到超爱丁顿态,这种成分似乎经历了一个不连续的转变。













